The 2026 FIFA World Cup draw is complete. We’ve ranked all 12 groups from strongest to weakest using FIFA world rankings, applying median and mean calculations. The lower the score, the stronger the group. The results challenge conventional wisdom: the group containing the world’s top-ranked team is actually the weakest, while England and Croatia headline the most competitive quartet. (Note: Where play-in teams remain undetermined, we used the best-ranked team in the playoff and will revise after those matches conclude.)
FIFA WORLD CUP 2026 GROUP RANKINGS STRONGEST TO WEAKEST (MEDIAN)
1. Group L – median 20.0
England – 4
Croatia – 10
Ghana – 72
Panama – 30
2. Group A – median 21.5
Mexico – 15
South Africa – 61
Korea Republic – 22
Denmark – 21
3. Group B – median 22.0
Canada – 27
Italy – 12
Qatar – 51
Switzerland – 17
4. Group C – median 23.5
Brazil – 5
Morocco – 11
Haiti – 84
Scotland – 36
5. Group I – median 24.0
France – 3
Senegal – 19
Norway – 29
Congo DR – 56
6. Group F – median 24.5
Netherlands – 7
Japan – 18
Tunisia – 40
Poland – 31
7. Group D – median 25.5
USA – 14
Paraguay – 39
Australia – 26
Türkiye – 25
8. Group G – median 27.0
Belgium – 8
Egypt – 34
IR Iran – 20
New Zealand – 86
9. Group J – median 29.5
Argentina – 2
Algeria – 35
Austria – 24
Jordan – 66
10. Group K – median 31.5
Portugal – 6
Colombia – 13
Uzbekistan – 50
Congo DR – 56
11. Group E – median 32.5
Germany – 9
Curaçao – 82
Ecuador – 23
Côte d’Ivoire – 42
12. Group H – median 38.0 (Weakest)
Spain – 1
Cabo Verde – 68
Saudi Arabia – 60
Uruguay – 16
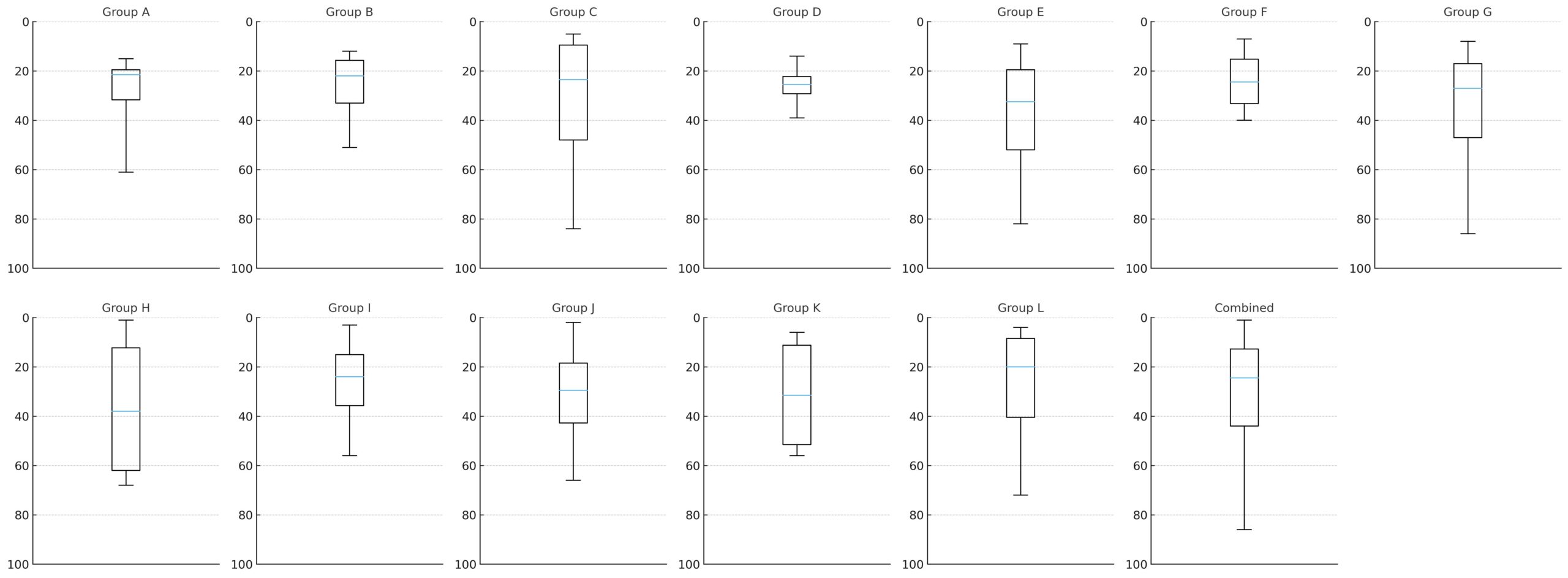
Instead of using the raw rankings (where lower numbers are better), each bar uses a “strength score” that flips the rankings so that higher bars mean stronger, more difficult groups. The score is calculated from the middle of each group (the median rank), so it reflects the typical level of the teams likely to fight for the top three spots, not just one superstar or one weak outsider.
Box and Whiskers Graphic for Each Group and Combined Groups
Here is another way to view it. In this case, the 2026 World Cup groups are in alphabetical order. (click to enlarge, higher on the Y axis = stronger)

More about Box and Whisker Graphs and World Cup Strength
Here’s what a box and whiskers tells you about World Cup Group strength:
1. How strong the group is overall
If the entire box is low on the chart (meaning better rankings), the group is stronger.
If it’s higher on the chart (worse rankings), the group is weaker.
2. How balanced the group is
A small box means the teams are close in strength — a very competitive group.
A tall box means the teams vary a lot — one or two strong teams and one or two weaker teams.
3. The median (middle-strength team)
The line inside the box shows the “middle” team in the group.
A lower median = a stronger overall group.
4. The best and worst teams
The whiskers show the strongest-ranked team and the weakest-ranked team.
This helps you see if the group has:
- One powerhouse
- One major underdog
- Or four teams of similar strength
5. Outliers
If there’s a team far stronger or weaker than the rest, the chart makes it immediately obvious.
Who Has the Strongest Group?
Group L is the strongest group with a median FIFA ranking of 20. England (4th) and Croatia (10th) lead with five total World Cup final appearances. Panama (30th) and Ghana (72nd) add depth, making every match competitive. No team can be overlooked, and every point will be critical.
England and Croatia must navigate past disciplined opponents to secure qualification. Panama’s rising international experience and Ghana’s knockout-stage pedigree increase the threat of upsets. Tactical discipline, efficient finishing, and defensive stability will decide who advances in a group where even a single mistake could prove costly.
Which is the weakest World Cup 2026 group?
Group H has the weakest World Cup group with a median FIFA ranking of 38. Spain (1st) and Uruguay (16th) lead the group, while Cabo Verde (68th) and Saudi Arabia (60th) fall well below. The wide ranking gap creates the tournament’s most unbalanced group structure.
What makes Group H fascinating despite its ranking imbalance is the quality at the top. Spain enters as reigning European champions and the tournament’s top-ranked side, while Uruguay brings a storied World Cup pedigree with two titles and a 2010 semifinal appearance. Their head-to-head clash will likely determine the group winner, as both should handle Cabo Verde and Saudi Arabia. However, upsets are never impossible—Saudi Arabia shocked the world by defeating Argentina in their 2022 World Cup opener, proving they can rise to the occasion. For Cabo Verde, making their tournament debut, every match represents a historic moment regardless of result. The mathematical reality is that Spain and Uruguay are overwhelming favorites to advance, making Group H less about survival drama and more about which powerhouse claims top spot.
Is there a Group of Death in the World Cup 2026?
There is no Group of Death in the 2026 World Cup. No group has a significantly lower median FIFA ranking than others. A true Group of Death would include multiple top-ranked teams, but current group distributions show balanced competition without a clear outlier.
The traditional “Group of Death” designation requires multiple elite teams fighting for limited advancement spots, creating high-stakes matches where a powerhouse risks early elimination. The 2026 format fundamentally changes this calculus. With 32 of 48 teams advancing—including the eight best third-place finishers—even landing in a competitive group doesn’t carry the same peril it once did. In past World Cups, finishing third meant going home; now it could mean a Round of 32 berth. Group L’s median ranking of 20.0 makes it the strongest on paper, but England and Croatia should still feel confident about progressing. The same applies to Groups A and B, where the confirmed qualifiers create competitive environments without the cutthroat desperation of classic Groups of Death like 2014’s Group D (Uruguay, Costa Rica, England, Italy) where a major nation was guaranteed elimination.
A Different Way of Scoring (Mean)
If you use mean scores, low-ranking teams can really throw off the results. Nevertheless, here are those scores.
| Column A — Median Rank (Lower = Stronger) | Column B — Mean Rank (Lower = Stronger) | ||
|---|---|---|---|
| Group (Median) | Median Value | Group (Mean) | Mean Value |
| 1. Group L | 20.0 | 1. Group F | 24.0 |
| 2. Group A | 21.5 | 2. Group D | 26.0 |
| 3. Group B | 22.0 | 3. Group B | 26.75 |
| 4. Group C | 23.5 | 4. Group I | 26.75 |
| 5. Group I | 24.0 | 5. Group L | 29.0 |
| 6. Group F | 24.5 | 6. Group A | 29.75 |
| 7. Group D | 25.5 | 7. Group K | 31.25 |
| 8. Group G | 27.0 | 8. Group J | 31.75 |
| 9. Group J | 29.5 | 9. Group C | 34.0 |
| 10. Group K | 31.5 | 10. Group G | 37.0 |
| 11. Group E | 32.5 | 11. Group H | 36.25 |
| 12. Group H | 38.0 | 12. Group E | 39.0 |
Which Ranking Method Is More Trustworthy for Predicting Who Advances?
The median is more trustworthy — by far.
Why the Median Predicts Better
In a four-team World Cup group:
- Usually, two teams dominate and advance.
- The extremely weak fourth team rarely matters.
- The median highlights the “middle” team — the one most likely fighting for 2nd place.
- Outliers don’t distort the picture.
The median reflects competitive balance at the top, which is what determines who advances.
Why the Mean Is Less Reliable
The mean can be misleading because it:
- Over-penalizes groups with a single very weak team
- Over-rewards groups with one super-team and three mediocre teams
- Suggests a group is strong/weak based on teams unlikely to advance
The mean tells you about “overall quality,” but not about who is likely to move through the bracket.
A Twist for 2026
Unlike past tournaments where only the top two advanced, the 2026 format allows some third-place teams to reach the knockout rounds — but not all of them. Only the eight best third-place teams across the 12 groups move on.












